| 중 | 품질통제(QC) | [정의] 프로젝트 결과가 관련 품질 기준을 준수하는지를 결정하기 위해 감시하고 기록하면서 성과를 평가하고 권고안을 제시하는 활동 --------------------------------- [QC7도구] 현상분석 ( 체크시트, 파레토차트, 히스토그램 ) 원인분석 ( 특성요인도, 산점도, 흐름도 ) 자료분석 ( 관리도 ) --------------------------------- [신QC7도구] 친화도법(애매한 문제, 다양한 언어 데이터로 상호 친화성 이용, 정리와 발견) 연관도법(원인-결과, 목적-수단 등 관계 연결해 문제 해결) 계통도법(목적, 결과 설정, 수단,방책을 계통적으로 전개해 나가는 기법) 매트릭스도법(행,열에 속하는 요소에 의해 문제 해결 아이디어 얻음) 매트릭스 데이터 해석법(주성분 분석법, 복수의 특성 합성 종합 지표 산출) PDPC법(과정 결정 계획, 사전에 여러 결과 예상하여 대응하는 방법) 애로우 다이어그램법(PERT 기법, 시간상 항목 나열, 일정 계획 명확화) |
현원자 체파히 특산흐 관 친연계매해P애 |
| 토픽 이름(상) | 품질통제(QC) |
| 분류 | SW > SW 품질 표준 및 종합 > 품질통제(QC) |
| 키워드(암기) | 품질통제의 7가지 도구 - 특성요인도(Cause and Effect Diagram), 파레토 차트, 체크 시트, 산점도, 히스토그램, 관리도, 흐름도 |
| 암기법(해당경우) | 특파관히체산층(5판기준) => 특산관히(6판), 친연매매계P애 |
기출문제
| 번호 | 문제 | 회차 |
| 1 | 13. 품질보증(QA : Quality Assurance), 품질통제(QC : Quality Control) | 114.관리.1 |
| 2 | 7. 소프트웨어 품질관리를 위한 QC 7 도구에 대해 설명하시오 | 합숙_2018.01.1일차 |
I. 사용자 요구사항에 부합하는 산출물 생성을 위한, 품질통제의 개요
가. 품질통제(Quality Control)의 정의
- 프로젝트 결과가 관련 품질 기준을 준수하는지를 결정하기 위해 감시하고 기록하면서 성과를 평가하고 권고안을 제시하는 활동
나. 품질통제의 목적
1) 프로젝트에서 품질이 낮거나 요구사항에 맞지 않는 제품 품질의 원인을 식별해서 원인을 제거하는 활동
2) 주요 이해관계자의 요구사항에 맞는 작업과 산출물인지를 확인하여 결과적으로 최종 승인을 얻는 것
II. 품질통제의 7가지 도구
가. 품질통제 4가지 도구(PMP 6 Edition)
| 구분 | 도구 | 설명 |
| 원인분석 단계 활용 도구 | 특성요인도 (인과관계도) |
![]() - Cause and Effect Diagram, Fishbone Diagram, Ishikawa Diagram - 결과(특성)와 그것에 영향을 미친 원인(요인)을 계통적으로 나타냄 |
| 산점도 (산포도, Scatter Diagram) |
![]() - 영향을 주는 2개 인자간의 관계를 파악하기 위한 도구 - 두 변수에 대해서 특성(결과)과 요인(원인)의 관계를 규명하고 이 관계를 시각적으로 표현하고자 할 때 사용 - 강한 정비례 관계(양(+)상관) : X가 증가하면 Y도 증가 강한 반비례 관계(음(-)상관) : X가 증가하면 Y는 감소 관계가 없는 것(무상관) : X가 증가해도 Y에 영향이 없음 |
|
| 자료관리 단계 활용도구 | 관리도 (Control Chart) |
![]() - 공정이 일정한 품질 수준을 유지하는가를 판정하는 도구 - In Control : random variation은 발생하지만, 통제할 수 있는 special variation은 없는 상태 - Out of Control : 결과가 상한선(UCL)이나 하한선(LCL)을 벗어나는 경우 |
| 현상파악 단계 활용 도구 | 히스토그램 ( Histogram) |
![]() - 범위를 몇 개의 구간으로 나누어 막대그래프로 작성 - 데이터의 분포의 형태를 쉽게 파악하기 위한 용도 |
나. 품질통제 3가지 도구(PMP 6 Edition 제외분)
| 현상파악 단계 활용 도구 | 파레토 차트 (Pareto Diagram) |
![]() - 문제의 중점화, 우선순위 파악을 위한 도구 - 문제 원인은 “사소한 다수(trivial many)”와 중요한 “소수(vital few)”로 분류 - 중요한 20% 원인이 전체 문제의 80%를 발생 (20:80 법칙) |
| 체크 시트 | ![]() - Check Sheet - 데이터 수집, 문제 분석을 효율적으로 실시하기 위한 도구 - 간단히 체크해서 결과를 쉽게 알 수 있도록 만든 도표 |
|
| 원인분석 단계 활용 도구 | 층별 | - Stratification - 불량 요인마다 데이터를 구분해서 잡는 도구 - 전체 데이터를 두 개 이상의 관련 있는 부분집합으로 나누어 분석함으로써 문제의 가능한 원인을 규명하려는 기법 - 부분집합을 층이라 하고 층으로 나누는 것을 층별 또는 층별화라 함 |
* [기존 5판]에서 수정된 부분
| 도구 | 개념도 | 설명 | |||
| 흐름도 | ![]() - Flow Chart |
- 하나의 프로세스에서 어떤 단계로 수행할 수 있는 가능성을 입력과 출력으로 표현 | |||
III. 신 QC 7가지 도구
- 주로 언어 데이터와 같은 정성적 데이터를 분석하고 정리하는 데 사용되는 도구
| 도구 | 개념도 | 설명 |
| 친화도 | ![]() |
- 다량의 아이디어를 유사성이나 연관성에 따라 묶는 방법 |
| 연관도 | ![]() |
- 인과관계를 설명함으로써 복잡한 문제의 여러 다른 측면의 연결관계를 분석하는데 이용되는 도구 |
| 매트릭스도 | ![]() - 매트릭스 형태의 표에 가중치와 평가 점수를 배열된 표에 기입하여 데이터를 알아보기 쉽게 표 또는 그림으로 나타내기 위한 도구 |
- 제품이나 서비스를 비교 혹은 평가하여 중요도를 나타내는데 효과적임 |
| 매트릭스 데이터 해석법 | ![]() |
- 블록 다이어그램을 이용하여 각 블록의 상황을 구분하여 표현하는 데 효과적 - 주로 4-Block 또는 9-Block으로 구분하는 그림이 많이 활용됨 |
| 계통도 | ![]() |
- 설정된 목표를 달성하기 위해 목적과 수단의 계열을 계통적으로 전개하여 최적의 목적 달성 수단을 찾고자 하는 방법 |
| PDPC | ![]() - Process Decision Program Chart |
- 프로젝트의 진행과정에서 발생할 수 있는 여러 가지 우발적인 상황들을 가정하고, 그러한 상황들에 신속히 대처할 수 있는 대응책들을 강구하여 표현하는 기법 |
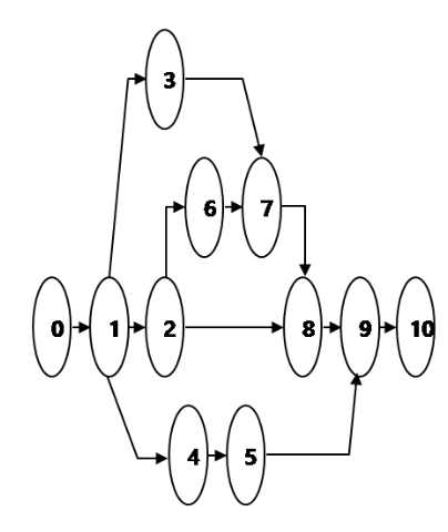
| 애로우다이어그램 | ![]() |
- Arrow Diagram - 여러 가지 복잡한 순서를 목적이 달성될 때까지의 작업순서와 시간 배정을 나타낸 것 - 순서와 서로의 관계가 하나의 화살표로 표시 예) 최적의 일정계획을 위한 진척도 관리 |
VI. 품질 통제 ITO

반응형
'정보관리기술사 > 소프트웨어공학' 카테고리의 다른 글
| CMMI / CMMI 2.0 (0) | 2024.04.15 |
|---|---|
| ISO/IEC 25010(ISO 9126) (1) | 2024.04.14 |
| 품질보증(QA), 품질관리 (0) | 2024.04.12 |
| QM(품질관리) (0) | 2024.04.11 |
| 성능 테스트 (2) | 2024.04.10 |













